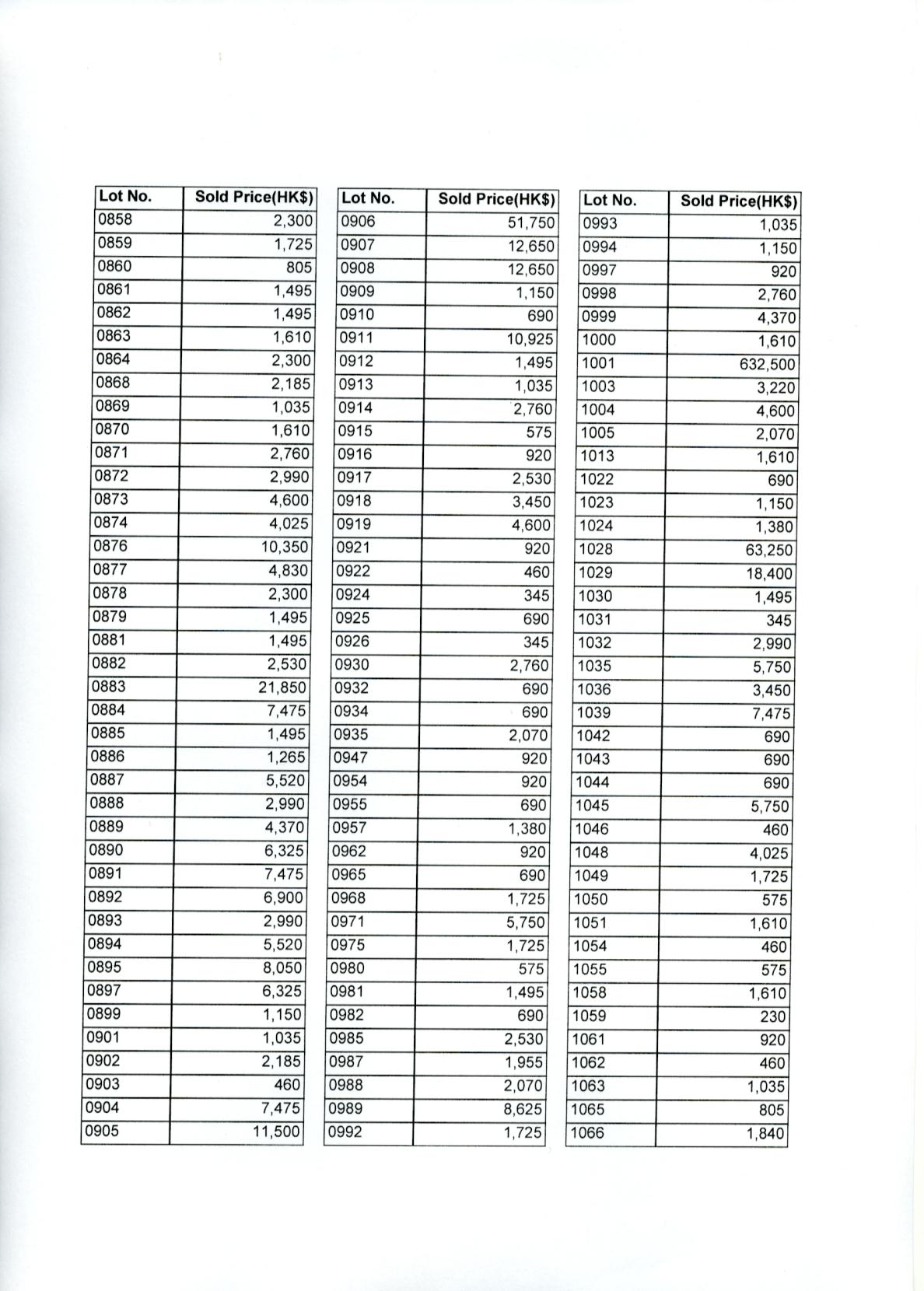
Page 7 - August 2011 Auction Results
Basic HTML Version
View Full Version
Table of Contents
Page 6
Page 8